应用场景
需要有一批数据用于批量加载构建初始数据,不支持从0开始构建(一个key一个key插入),支持读写操作。
问题描述
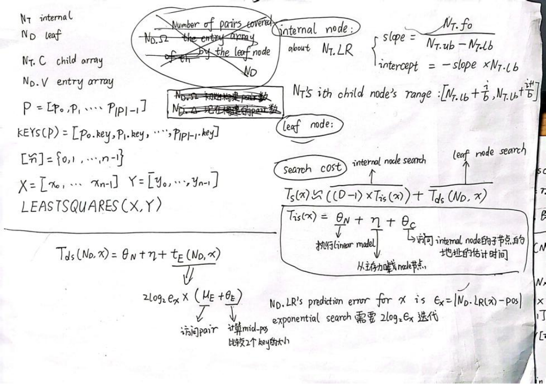
在一棵树中查找一个key,包含两部分;找到包含key的leaf node,leaf node的local search
查找性能取决于leaf node的深度和线性回归模型的accuracy
方法和结果
提出一种two-phase bulk loading算法,先构建一棵BU(bottom-up)-Tree,它的node布局由greedy merging 算法(考虑了leaf node的深度和线性回归模型的accuracy)决定,接着根据BU-Tree的node布局构建DILI.
BU-Tree中internal node的range并不是被它的child平分
DILI与LIPP相比,每个leaf node的keys分布更接近线性,发生冲突的概率更低
Search without Optimization
Building BU-Tree
难点:确定nh的大小和nh - 1个breakpoints









